2025年11月11日 行业动态:
首页 > 时事报导 >> 相关行业
相关行业

北京工商大学:PGA可增强PBAT在模拟海水环境中的生物降解性能

发布时间:2024/8/2 9:52:31 来源:降解塑料专委会

石油基塑料因其成本低、机械性能优越、加工性能好等优点,在我们的日常生活中无处不在。然而,由于它们的耐久性和不可降解性将在使用过后产生大量的塑料废物,造成严重的白色污染,从而对环境构成重大威胁。在众多的塑料污染类型中,由于海洋塑料污染会对海洋生态系统和生物多样性的不可逆影响,以及对人类健康的严重危害而受到越来越多的关注。中国作为世界上最大的塑料生产国和消费国,海洋塑料废弃物排放量位居世界第一。因此,寻找可靠的方法来解决海洋塑料污染问题迫在眉睫。从材料本身入手,研究在海水中可以自行降解的塑料,是实现可持续发展,解决海洋塑料污染问题最根本、最有效的途径。

聚乙醇酸(PGA)和聚己二酸丁二醇酯-邻苯二甲酸酯(PBAT)作为应用广泛的可生物降解聚合物,其混合物在海洋环境中的降解行为尚未得到证实。最近,北京工商大学翁云宣教授课题组研究了模拟海洋环境中不同比例的PGA/PBAT混合物的宏观和微观形貌、热学性质、结晶和化学结构、降解率的变化。

本实验中使用的PGA、PBAT及其共混物的薄膜样品均采用神华公司提供的原料通过吹塑加工获得。PGA 和 PBAT 代表 PGA 和 PBAT 的纯样品。PGA-x (x = 80,60,20) 代表 PGA/PBAT 混合物,其中 x 是混合物中 PGA 的质量分数。用于共混改性的扩链剂是巴斯夫的ADR 4368。每种组分混合均匀,并通过双螺杆挤出机造粒。然后在80°C下干燥过夜去除粒料中含有的水分,之后通过吹膜机制备薄膜。螺杆温度为 190–240 ℃,制备的薄膜厚度约为 50 ± 5 μm。在浙江宁波的低水位线下收集海泥用于模拟海底沉积物,海泥在4°C下保存并在取样后4周内使用。沉积物的总有机碳、pH和氮含量分别为0.77 mg/g,8.0和0.16 mg/L。使用的人工海水根据标准进行配制,具有34 ‰实际盐度单位。模拟环境中引入了海洋生物、海葵和小丑鱼。采用沉积物/海水界面降解试验方法,降解样品的尺寸为5 cm×5 cm,定期取样用于后续的测试分析。

研究发现,PBAT和PBS薄膜在同时具有沉积物和海洋生物的人工模拟海洋环境中的降解行为过程中,聚酯材料的相对分子质量逐渐降低,材料的C-O键含量逐渐升高,这证明PBAT和PBS的分子链在降解过程中发生断裂。聚酯材料的热稳定性和结晶度的变化也进一步证明了降解的发生。通过收集二氧化碳释放量得到了聚酯材料的生物降解率,发现PBS的生物降解率高于PBAT。通过对降解过程中PBAT/PGA样品的聚集态结构分析发现,半结晶聚酯的无定形区优先于结晶区降解,简单的分子链段结构有利于生物降解的进行。通过分析降解过程中样品相对分子质量的变化发现,具有较大相对分子质量、复杂分子链段结构、低链自由体积和紧密缠结链的聚酯材料在降解过程中容易发生交联,不利于生物降解的快速进行。通过分析降解过程中样品的分子结构变化发现,聚酯材料的降解主要表现为酯键的断裂,先降解成不同组成的低聚物,进一步降解成简单的二聚体或三聚体,同时逐渐被微生物代谢成二氧化碳和水等小分子物质。通过研究PBAT/PGA样品的生物降解速率发现,PGA的生物降解速率高于PBAT,共混物的生物降解规律综合了单一组分的降解规律。本研究为构建具有可控生物降解性能的聚酯材料进行了前期探索,发现对聚酯的分子结构进行设计、降低相对分子质量、提高端羧基含量以及引入无机填料都可以促进聚酯的生物降解行为。

图1:降解前后不同组成PBAT/PGA样品的(a)外观和(b)SEM图像

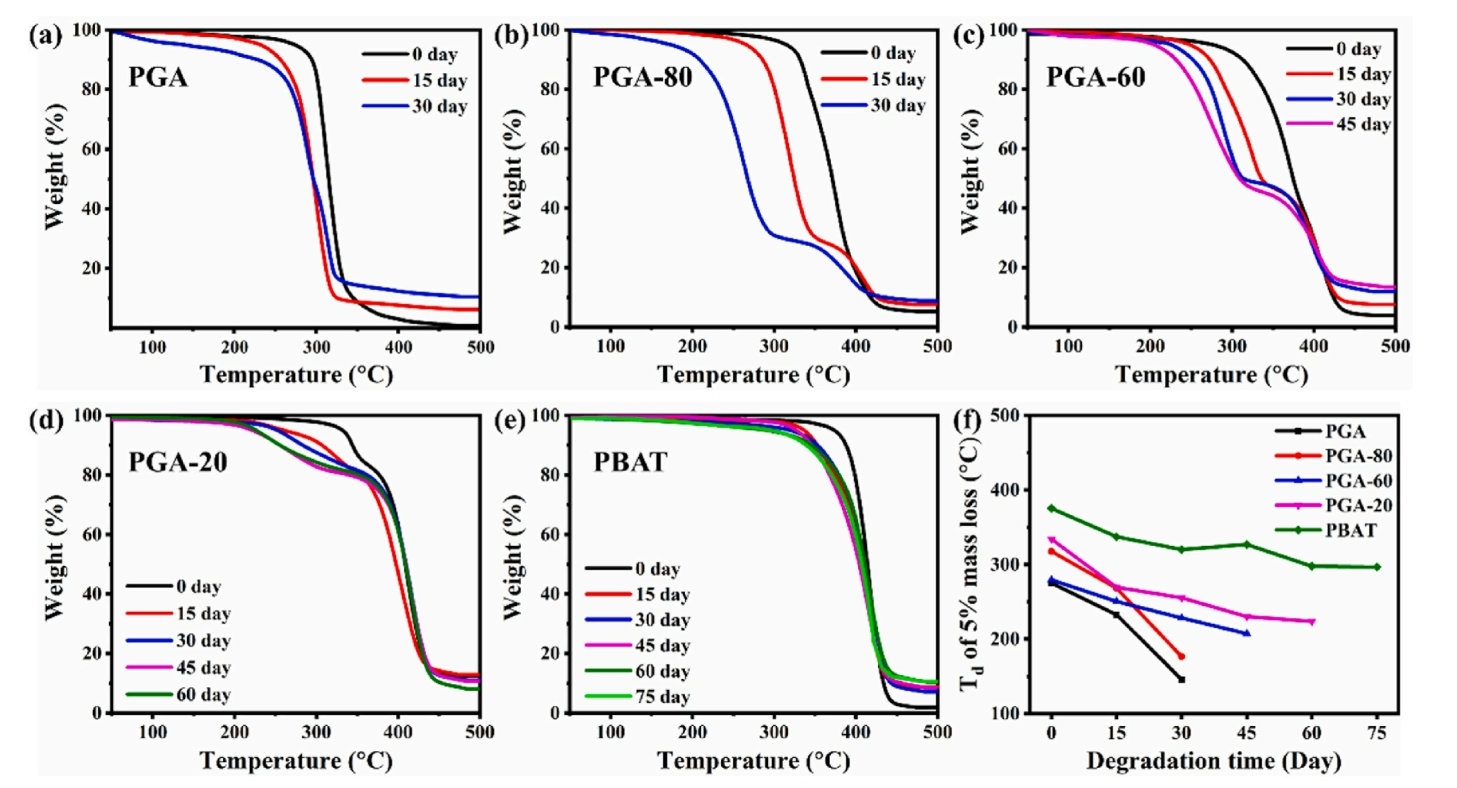
图2:不同样品的TG曲线 (a) PGA、(b) PGA-80、(c) PGA-60、(d) PGA-20、(e) PBAT和(f)降解前后各样品 5 %质量损失的Td变化曲线。

从图2中可以看出,降解后薄膜样品的起始分解温度和峰值分解温度均向低温方向移动,这是由于降解后酯键断裂,相对分子质量下降导致热稳定性下降。降解前共混材料的TGA曲线上可以看到样品质量损失的温度范围较宽,而降解后样品的质量损失有两个较窄的温度范围,分别为PGA和PBAT部分的热分解,这表明共混材料遵循了单一聚合物的分解过程。共混样品中PGA的含量越高,热稳定性下降越明显,证明其降解速率更快。

图3:不同样品的DSC曲线 (a) PGA、(b) PGA-80、(c) PGA-60、(d) PGA-20、(e) PBAT和(f) 降解前后各样品结晶度变化曲线。

根据图3,样品的结晶度在降解初期突然下降,这是因为加工过程诱导的结晶结构被破坏。随着降解的进行,纯PGA和含部分PGA结构的共混物的结晶度逐渐降低,而纯PBAT的结晶度则逐渐升高。这是由于PGA的分子长链结构相对简单,其在微生物和酶的直接作用下导致结晶区的酯键断裂;而PBAT由于具有复杂的分子链段结构且存在芳香族苯环,所以PBAT的无定形区比结晶区优先发生降解。

图4:(a) PGA、(b) PGA-80、(c) PGA-60、(d) PGA-20、(e) PBAT 降解前后的 FTIR 谱图。

根据图4,对于纯PGA的红外光谱,2960 cm-1处的峰可归因于C-H键的拉伸振动。1745 cm-1处的峰和1635 cm-1的肩峰可归因于主链酯键和游离羰基,其在降解过程中主峰强度逐渐减弱峰型逐渐变宽,肩峰强度提高。1296 cm-1和1267 cm-1处的峰可归为脂肪族和芳香族的C-O键,其逐渐减弱并形成宽峰。这都是生物降解导致酯键断裂形成端羧基和羟基自由基的结果。对于纯PBAT的红外光谱,1267 cm-1和1244 cm-1处的峰归为C-O键,其峰强度的变化程度没有PGA显著,且没有形成明显的宽峰,这证明PBAT的降解速率没有PGA快。可以看出,聚酯材料的生物降解行为是发生了一定程度的分子链断裂,并且主要是酯键的断裂。

图5:降解前PGA100(a)、PGA60(c)、PBAT(e)和降解30天后的PGA100(b)、PGA60(d)、PBAT(f)的C 1s核心级光谱

从图5可以看出,降解前后不同样品的特征峰强度差异明显。纯PGA样品中C-O与-COO-的相对峰面积比例从1.23增加到1.45, PGA60中从1.11增加到2.28,PBAT中从1.54增加到3.55。降解后-COO-峰的强度相对于C-O峰的强度降低,表明聚酯的降解主要是酯键的断裂。降解后纯PGA材料的C-C键的峰强度降低,这是由于微生物的作用导致主链直接断裂所致。由此也证明了PGA的降解速率比PBAT更快,降解程度也更高。

图6:降解30天前后PGA60的1H NMR谱

对降解30天前后PGA60样品进行核磁共振测试,得到的1H-NMR谱图如图6所示。其中4.897 ppm处的代表PGA长链上的氢原子,其峰强度在降解后减弱。4.349 ppm标记为l的峰代表PGA分子端羟基上的氢原子,其峰强度在降解后增强。在4.489和4.272 ppm标记为h和k的峰分别代表PBAT中与丁二醇中氧原子相连的两个亚甲基上的氢原子,降解后PBAT的峰强度没有明显变化。从上述结论可以看出,共混薄膜样品的降解遵循各自单一组分降解的规律,PGA的降解速度比PBAT快,共混物中的PGA部分优先降解。

图7:降解前PGA100(a)、PGA60(b)、PBAT(c)和降解后PGA100(d)、PGA60(e)、PBAT(f)的质谱图

对降解前后PBAT/PGA样品进行Py-GC/MS测试,研究聚酯降解产物的组成与含量,降解产物的质谱如图7所示。在图7中保留时间13.97 min处可以观察到乙交酯的峰,降解后乙交酯的峰强度显著降低。在图7(c)中保留时间为17.15、18.46、19.35和20.61 min处观察到PBAT不同组成的峰,降解后样品BAB和BTB结构的峰强度显著降低,而BA和BT结构的峰强度明显升高。这表明PBAT的分子长链由于酯键断裂而降解为较短的分子链,然后进一步降解为简单的二聚体或三聚体。

图8:PGA/PBAT薄膜的降解率与降解时间的关系

由BOD测试得到PBAT/PGA材料的降解速率曲线如图8所示。可以看出,纯PGA的生物降解率迅速增加,在降解60天后逐渐趋于平衡。这表明在人工模拟海洋环境中,PGA可以被微生物快速降解并进一步代谢。纯PBAT的生物降解率一直在缓慢增加,这表明PBAT也可以在人工模拟海洋环境中被微生物降解和代谢,但降解速度比PGA慢,降解90天的生物降解率约为15 %。共混样品的生物降解率介于纯PGA和PBAT之间,且PGA的含量越高,生物降解率越高。




免责声明:本图文、资料来源于网络,转载的目的在于传递更多信息及分享,并不代表本网站赞同其观点和对其真实性负责,也不构成其他建议。仅供交流,不为其版权负责。如涉及侵权,请及时与我们取得联系: zpia2008@163.com。