2025年10月24日 行业动态:
首页 > 行业信息 >> 专题论述
专题论述

生物基聚酯PEF的改性方法对比及分析

发布时间:2024/3/28 10:48:03 来源:TK生物基材料

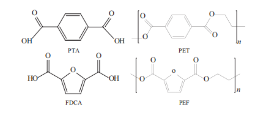
聚2,5呋喃二甲酸乙二酯(PEF)是以木质纤维素为基础原料制备的生物基聚酯。其原材料2,5呋二甲酸(FDCA)早已在2004年就被评为最具潜力的12种生物基平台化合物之一。由于FDCA 与对苯二甲酸(PTA)具有相似的环状共轭双羟基的结构,如图1所示,所以两者化学性质也近似。PEF也被大部分学者视为PET的完美替代品。同时,与石油产品 PET不同的是,PEF可以100%基于生物技术生产,并在关键应用中增强可循环使用性,并且由于它完全基于生物基础,可以有效减少二氧化碳的排放。其与PET相比可降低温室气体排放量达到50%以上。

图一

综上,由沈阳工业大学石油化工学院的周俏,王昊楠等人发表一篇题为《生物基聚酯PEF的研究进展》的论文在期刊《工程塑料应用》上,下文将节选《生物基聚酯PEF的改性方法》

生物基聚酯PEF的改性方法

PEF的气体阻隔性极好,刚性、玻璃化转变温度及熔点等也较优于PET。但是也存在延展性、拉伸及冲击韧性和结晶速率慢的缺点,使其在加工应用等方面难以发展。为了改善这一劣势,学者不断对 PEF进行改性,主要包括共聚、共混、纳米复合等几种方式。

1 无规共聚改性

无规共聚一般是指将混合充分的各种单体随机发生聚合反应,其中重复单元会在大分子链上无规排列,两种单体则会在主链上随机分布。

(1)与二元酸的共聚。

Karayannidis等使用FDCA、EG和TPA合成了共聚酯聚2,5-呋喃二甲酸-co-对苯二甲酸乙二酯(PEFT)。相比PEF均聚酯,PEFT在对苯二甲酸乙二酯链节含量达70~90mol%时才实现脆一韧转变,但低于该数值时PEFT并没有明显提高断裂伸长率,且拉伸强度及其弹性模量稍低于PEF。该共聚酯可以较好地保持高的玻璃化温度和力学强度,但增韧效果不佳。

Wang 等使用FDCA,EG和1,10-癸二酸(Se)采用熔融缩聚法合成了共聚酯聚2,5-呋喃二甲酸-co-癸二酸乙二酯(PEFSe),当癸二酸乙二酯链节含量到达30mol%时,实现脆一韧转变。但玻璃化转变温度降低明显,只有21℃℃,甚至会到达负值,同时拉伸强度及模量大幅下降。

Jia等使用FDCA,EG 和十二二酸合成共聚酯聚2,5.呋喃二甲酸-co-十二二酸乙二酯。当十二二酸乙二酯链节含量达到 20mo1%时,其断裂伸长率高至380%,但玻璃化温度低至38°℃。同时杨氏模量和拉伸强度也都显著降低。

(2)与二元醇的共聚。

Wang等采用 CHDM对PEF进行改性,选择与 FDCA.EG反应,采用乙酸锌和三氧化二锑为催化剂,最终制取的共聚酯聚2,5-呋喃二甲酸乙二酯-co-环已烷二甲酯(PECF)具有较高的断裂伸长率。当环已烷二甲酯(CF)链节物质的量分数为 32% ~76%时,PECF 共聚酯的断裂伸长率达到50%~186%,拉伸弹性模量和拉伸强度有所降低。Wang等在后续实验中,选择了2,2,4,4-四甲基-1,3-环丁二醇进行共聚改性,改性效果不如 CHDM。

Hong等也采用CHDM对PEF进行改性,选择与DMFD和EG进行反应,以TIS 为催化剂,得到PECF共聚酯,当CF的物质的量分数达到50%~75%时,断裂伸长率提高至20%~79%,拉伸弹性模量和强度有所降低。

可以看出,加入高含量的CHDM进行共聚不仅可以改善PEF拉伸韧性,还可以很好地维持其他的性能,但需添加高含量的共聚单体,改性成本显然较高。

谢鸿洲引人直链柔性二元醇单体,以1,5一戊二醇和1,6一己二醇为共聚单体,合成了一系列具有优良拉伸韧性的共聚酯聚 2,5-呋喃二甲酸乙二醇-co-1,5-戊二酯(PEPeF)和聚 2,5-呋喃二甲酸乙二醇-co-1,6-已二酯(PEHF)。当PeF链节物质的量百分数为9~47mol%时,PEPeF 共聚物的断裂伸长率最大提高265%,冲击强度最大达 3.9 kI/m’。同时维持了高水平的拉伸弹性模量、拉伸强度、玻璃化转变温度和气体阻隔性。

(3)与内酯的反应。

Wang 等利用 ε-己内酯对PEF进行共聚改性,得到一系列共聚酯聚2,5-呋喃二甲酸乙二酯-co-8-已内酯(PEFCL),当聚已内酯(PCL)重复单元含量为17mo1%~25 mol%时,断裂伸长率就有了明显的提高,最大可达到980%,增韧效果明显。但是拉伸强度和拉伸弹性模量同时降低。并且玻璃化转变温度减低幅度较大,最终温度仅为34℃℃。

2 嵌段共聚改性

嵌段共聚是指将PEF 与结构灵活的软段进行共聚,PEF的硬段与其通过共价键相连,两者为微相分离结构,相互配合发挥出更加优异的性能。这种共聚方式往往使共聚物具有优异的延展性和冲击强度。

(1)扩链法。

扩链法是先合成低聚物后,再添加性质优异的扩链剂使其预聚体之间不断结合形成大分子链,这样可以使得产物分子量增加速率显著提高。

谢鸿洲将PEF低聚物和两种脂肪族聚碳酸酯二醇通过异氰酸酯进行扩链一偶联法合成了一系列多嵌段共聚物,其断裂伸长率达到55%、冲击强度为 4.0 kJm'、拉伸弹性模量为 2.8 GPa、拉伸强度为65 MPa。但气体阻隔性没有达到很优异的效果。

(2)共聚大单体法。

共聚大单体法是在反应前半阶段加人低分子量的羟基或者羧基封端的低聚物作为大单体接人聚酯的分子链中。

Xie 等用聚四亚甲基二醇对PEF进行共聚改性,断裂伸长率增加并且PEF力学强度没有降低,同时玻璃化温度的变化也在可用范围内。

3 共混改性

最初的多相分散的共混体系是在材料中添加弹性体及橡胶制备。但是整个过程中难以保证材料本身的强度、耐热性、刚性及阻隔性等。后续为了有效改善维持材料高性能,国内外不断报道对聚合物的增韧改性的研究,如非弹性体增韧理论121、刚性无机粒子增韧体系等。聚酯的熔融共混改性由于会发生酯交换反应四,产物中可能会有多嵌段的共聚物和无规共聚物4。总体来说,该法成本不高、操作简单可以被广泛使用在工业生产中。

陈英等报道了PEF和PBS进行共混发现其相容性不佳,虽然最终共混物的冲击性能与拉伸强度均有所提高,但断裂伸长率提TK生物基材料升程度不大。同时发现不超过50%的PEF作为刚性组分与对苯二甲酸-co-己二酸丁二酯(PBAT)共混,可以起到增强 PBAT的作用。这是因为PBAT的结晶性遭到破坏,共混物具有更高的断裂伸长率。PEF质量含量为7%~50%时,其共混物比PBAT的冲击强度和拉伸弹性模量分别提高为PBAT的3~10倍和2.3~4.5倍。

Poulopouou等研究了一系列呋喃二甲酸基聚酯与其他聚酯的共混,首先将PEF与其他三种呋喃基聚酯共混,最终发现PEF与聚2,5-呋喃二甲酸丙二酯(PPF)相容性最好,其次是PPF 与聚2,5-呋二甲酸丁二酯(PBF)部分相容,而PEF与PBF则不相容。同时PEF与PET/聚2,6-萘二甲酸乙二酯/聚乳酸部分相容并且结晶度会提高,但是与聚碳酸酯不相容。作者认为共混改性是改善呋喃基聚合物各项指标很好的方式,可以有效推动呋喃基聚酯的工业化及应用。共混改性的重点是选择合适的改性共混单体,但共混单体含量增加必然会导致成本提高、生物基碳含量降低等缺点。

4 纳米复合

纳米复合主要通过溶液共混、熔融共混和原位聚合进行制备。往往可起到促进结晶、提高力学性能和气体阻隔性的作用。

Martino 等报道了 PEF/蒙脱土(MMT)纳米复合材料。在2°C/min 的降温速率下,熔体结晶焓可以迅速提高到14.5J/g。可以看出最终会使PEF的结晶性提高。在后续的实验过程中,Martino等:使用插层结构的PEF/MMT和PET/海泡石纳米复合材料,但PEF的结晶性未得到提高。

与熔融共混相比,原位聚合更有利于纳米粒子的均匀分散和表面接枝改性。Lotti 等以使用原位聚合制备PEF与多壁碳纳米管或氧化石墨烯的纳米复合材料。在2°Cmin的降温速率下促进PEF结晶。

结语与展望

随着能源危机以及环境污染问题日渐突出,我国先后在各项重点计划中提出低成本生物基工程塑料的制备与产业化。PEF在力学性能、耐高温性、阳气性等方面均优于PET,有望替代世界五大工程塑料之一的PET在食品包装领域、电子家电、汽车以及服装纺织等领域发挥作用。同时在高阻隔性包装材料、高性能纤维和工程塑料方面更是具有光明的应用前景。而且低碳的生物基材料PEF完美契合了“碳达峰,碳中和”这一政策。所以加快PEF工业化生产和应用急不可待。

PEF在合成技术上,由于原材料FDCA主要由贵金属催化剂制取,成本较高,应该进一步制备出低成本催化剂。同时应该注重反应过程中催化剂的选择、抑制副反应发生、促进分子量增加。PEF在结构性能上,其自然环境中难以降解,并且产品脆性大,更多改性方法需不断研发。相信PEF成功工业化生产后,对环境和人类的收益将会不可估量。




免责声明:本图文、资料来源于网络,转载的目的在于传递更多信息及分享,并不代表本网站赞同其观点和对其真实性负责,也不构成其他建议。仅供交流,不为其版权负责。如涉及侵权,请及时与我们取得联系: zpia2008@163.com。