2025年11月16日 行业动态:
首页 > 时事报导 >> 相关行业
相关行业

聚烯烃弹性体的改进SSA分级研究

发布时间:2023/6/28 11:30:04 来源:聚烯烃人

聚烯烃弹性体是指由茂金属催化,乙烯与1-丁烯、1-己烯和1-辛烯等高碳α-烯烃共聚得到的一系列无规共聚物,高度支化因而兼具橡胶的高弹性和塑料的热塑性,同时具备优异的物理力学性能,良好的耐低温性和加工流变性,应用极为广泛。其中材料的宏观(结晶及力学)性能与分子链结构息息相关,因此深入分析聚烯烃弹性体的分子链结构信息对促进材料的发展具有重要意义。

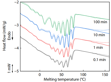
不同支化程度的聚乙烯分子链宏观上表现为结晶能力存在显著差异,连续自成核-退火(SSA)热分级技术利用低温自成核和阶梯式高温退火生长两步将不同支化程度的分子链区分为不同的级分。延长各阶梯温度的退火时间使各组分结晶更加完全,热力学上表现为各组分熔点显著增加,同时也意味着计算得到的链结构信息更加真实准确。

中国科学院长春应用化学研究所、中国科学技术大学应用化学与工程学院门永锋研究员课题组设计了一种改进的SSA热分级方法,利用溶液共混的方式将万分之五的线性聚乙烯混入聚烯烃弹性体乙烯-1-辛烯共聚物,为原体系提供全温区范围内有效的晶核,研究表明这种方法可以有效增强晶核在高温退火过程中的作用,分级曲线中各组分的熔点显著增加(图1),从而获得更接近真实序列分布的数据。同时,还发现这种商用乙烯-1-辛烯共聚物是由受分级参数和晶核作用调控后结晶行为完全不同的两种组分(以20℃为临界值)构成。

图1 乙烯-1-辛烯共聚物及不同线性LPE含量共混物的SSA分级曲线。

为了更有效的定量分析,利用分峰拟合软件对SSA分级曲线进行处理。结果表明,阶梯温度退火时间一个指数倍的延长后,组分的熔点约提高1.2℃,而全温区晶核引入后熔点约提高0.6℃,同时不影响退火时间延长的作用。此外,以20℃为临界值的各级分在不同实验条件的熔点变化趋势明显不同,于是将其分为两组分(20℃以下级分为Zone I,20℃以上级分为Zone II),其中Zone II组分熔点的变化与退火时间的延长、全温区晶核的引入呈现更好的相关性(图2)。

图2 两组分熔点与分级参数变化及共混单元引入的相关性。

不同条件下,两组分所包括级分的可结晶性(结晶程度利用积分面积定量)也完全不同(图3)。其中,分级窗口的缩小会一定程度上降低体系各级分的结晶程度,但贡献主要来自于Zone I组分;而全温区晶核的引入会有效提高体系各级分的结晶程度,但主要作用于Zone II组分,这进一步印证了两组分结晶行为上的显著差异。随着各阶梯温度退火时间的延长,体系的结晶程度变化不明显,意味着机理上与全温区晶核的作用不尽相同。

图3整个体系及两组分的可结晶性与分级参数及共混单元引入的相关性。

上述结果表明通过引入少量作为成核剂的线性聚乙烯可以有效提高乙烯基聚烯烃弹性体SSA热分级的效率及精度,该方案应也适用其他类型的共聚物热分级测试。

该工作发表在Chinese Journal of Polymer Science上。硕士研究生赵鑫桐是该论文的第一作者,门永锋研究员为通讯作者。该项工作得到国家自然科学基金企业创新发展联合基金(基金号U19B6001)的资助。




免责声明:本图文、资料来源于网络,转载的目的在于传递更多信息及分享,并不代表本网站赞同其观点和对其真实性负责,也不构成其他建议。仅供交流,不为其版权负责。如涉及侵权,请及时与我们取得联系: zpia2008@163.com。